El General Electric GE J79 fue el primer motor a reacción que pudo operar en el rango de Mach 2 y superior, permitiendo que toda una serie de aviones americanos operaran a esa velocidad en forma sostenida.

Esta corta descripción no parece muy notable, ni importante, ni interesante, ni emocionante, si no se analiza en su contexto. Y el contexto es que en esa época, en la década del 50 en EEUU los primeros aviones supersónicos estaban propulsados por motores “casi” de primera generación, y no superaban aproximadamente Mach 1.5, y la velocidad era considerada clave, por lo que la capacidad de alcanzar Mach 2 (M2) era, tanto para un bombardero de penetración como para un interceptor de esos bombarderos enemigos, un objetivo operativo condicionante. y así se dispara una carrera de eficiencia y performance que extraía lo mejor de la ingeniería de la época, buscando encontrar una solución al desafío de M2.
Y para entender la particularidad de este motor es necesario cubrir por un lado aspectos básicos del funcionamiento de un motor a reacción, hasta el desarrollo de las tecnologías en competencia en el momento de diseño del J79 que llevaron a la superioridad de este.
Ingeniería básica
El esquema de un motor a reacción básico de primera generación consiste en un compresor de un solo eje, que alimenta a cámaras de combustión que a su vez desembocan en la o las ruedas de turbina que absorben una parte de la energía del flujo para mover el compresor, y después de la turbina, en la tobera la energía remanente permite acelerar el flujo generando el empuje. En el caso de contar con post quemador, se vuelve a agregar energía en esta tobera, aumentando más la velocidad al fin de la misma.

En este esquema hay dos áreas claves para la performance, que están directamente relacionadas, la eficiencia del compresor, en base a la relación de compresor Rc, y la máxima temperatura alcanzada en la entrada de la turbina T4, que está limitada por el material de la turbina, y limita a su vez la energía posible de transferir al compresor. A medida que se mejoran los materiales, puede subir T4 y también Rc, Este esquema responde a un ciclo de Brayton. En Nota 1 se amplía la descripción conceptual del mismo y otros aspectos técnicos.
En esta primera generación de motores, la eficiencia del compresor era relativamente baja y condicionaba toda la performance a partir del punto de diseño. El punto de diseño o máxima eficiencia del compresor se encuentra cerca del régimen de operación de máximo empuje, a partir de este punto la zona de eficiencia se reduce a menor o mayor rpm, y perdían estabilidad ante cambios de potencia o de condiciones de entrada y hacía necesario adoptar sistemas que permitieran ampliar ese rango. Pero para llegar a ese régimen debe cruzar desde las rpm de arranque hasta este régimen, requiriendo potencia gradual de las turbinas para que la aceleración sea suave continua y rápida, “spool up”. (Nota 1)
Ordenando por orden de complejidad, antes de 1950 los sistemas para “ampliar” la zona de eficiencia, salvo la valvula bleed, eran conocidos teóricamente pero no se habían aplicado aun en ningún motor operativo.
- Válvula Bleed:
- Doble compresor con doble eje
- vanos de entrada variable VIV
- vanos de estator variables VSV
- Conductos de entrada variables
La primera solución fue derivar aire a mitad del compresor, con una válvula que se abre a bajas RPM y se va cerrando en altas RPM cuando todo el flujo es necesario, permitiendo que el resto del aire llegue al final sin perturbaciones. Aplicada en casi todos los primeros compresores axiales, aunque mejora la estabilidad y permite aceleración más continua, pierde efectividad para Rc > 5.
Las siguientes soluciones son más complicadas. En el doble compresor, el primer eje comanda el primer compresor de baja presión LPC, y el segundo el de alta presión HPC, que recibe el flujo a la salida del LPC. Los dos ejes, cada uno con su rueda de turbina, rotan a diferente velocidad y permiten responder a las variaciones de potencia y flujo durante la aceleración y en situaciones de inestabilidad, de apartamiento de las condiciones de diseño. En el arranque primero se acelera el HPC, permitiendo que cuando el LPC acelera, ya este establecido un flujo suficiente y se acelere gradualmente sin que haya bloqueo. Permite balancear el flujo en dos etapas, mejorando la flexibilidad, pero requiere que cada compresor tenga su turbina y su eje separado
Tiene la ventaja de estabilizar el funcionamiento del compresor, sin requerir control positivo. Pero presenta los inconvenientes de agrandar el motor en diámetro, peso y complejidad con respecto a un monoeje, además de requerir cojinetes concéntricos (cojinete donde la pista interna del eje de HP es la pista externa del eje de LP).
El sistema VIV consiste en que los vanos de entrada, antes del compresor, puedan ser móviles y regulables en función de las condiciones de funcionamiento. Es una solución parcial, como la bleed, y, como el VSV, requiere un sistema de control positivo del ángulo de los vanos, que sea función de las RPM, temp y Presion. Puede utilizarse con cualquiera de los otros sistemas.
El otro sistema VSV implica mantener un solo compresor de un solo eje, pero reorientando el flujo variando los ángulos de los vanos de varias etapas del estator, lo que permite suavizar el flujo evitando picos de presión, lo que en la práctica funciona como si se corriera el punto de diseño, manteniendo la eficiencia en una curva óptima.
Tiene la ventaja de mantener la simpleza del monoeje, menor complejidad con cojinetes simples, y tamaño reducido. El problema que presenta es que es necesario un sistema de control positivo del ángulo de los Vanos, que sea función de las RPM, temp y Presion. Y la necesidad de mantener reducidos los huelgos de los vanos variables.
Para aviones supersónicos, era necesario prever otra regulación, ya que la velocidad del flujo de entrada al compresor debe ser subsónica y todo el flujo a través del motor debe ser subsónico para que no haya ondas de presión que afecten continuidad del mismo, y en la tobera de escape debe acelerarse nuevamente a M>1. Y esto se consigue con una tobera convergente-divergente, normalmente con la geometría variable donde el flujo subsónico dentro del motor se acelera a mayor velocidad que la de vuelo. (Nota 1)
Teniendo en cuenta que el empuje varía con la altura, y con la velocidad de vuelo, esto implica que el empuje necesario debe conseguirse a la velocidad y altura de diseño del avión. Queda claro que no se puede tener un avión supersónico sin un motor supersónico.
Génesis
Para entender el salto de tecnología del J79 es conveniente hacer un pequeño resumen de cómo se llega al desarrollo de los motores a reacción al inicio del diseño de este. Los primeros motores fueron los diseños de Whittle en Inglaterra y de Hans Von Ohain en Alemania antes de 1939, ambos de compresor centrifugo que eran muy básicos, solo una prueba de concepto. Aunque el 1A de Whittle derivo en varios modelos operativos, Rolls Royce Derwent, RR Nene, RR Ghost, tanto los alemanes como los EEUU apuntaron al desarrollo del compresor axial, más eficiente y apto para evolucionar a mayores caudales y empujes. Este artículo se restringe a la evolución del compresor axial. En Tabla 1 se presentan las características básicas de varios de los motores mencionados en el artículo.
Aproximadamente en 1939 nacen los motores BMW 003, diseñado por Herman Oestrich, y Junkers Jumo 004 por Franz Anselm, muy similares en configuración, axiales, monoeje, 7/8 etapas de compresor, Rc:3 , siendo el JJ 004 un poco más grande y de mayor empuje (1900 lb contra 1400 lb). Esta línea de diseño es continuada en EEUU por varias empresas. (Después de la guerra, Oestrich fue tentado por A M Dassault, se quedó en Francia y desarrollo, a partir del 003, el SNECMA ATAR 101 (Atelier Technique aeronautique Rickenbach)), del que derivo toda la serie ATAR.




Westinghouse
Westinghouse diseña en 1943 el Model 19 A, que evoluciona al 19 B (J30). Pese a que Westinghouse asegura que fue un diseño propio desde cero, este motor era muy similar al BMW 003 en configuración y performance aunque un poco más chico. Evoluciona al J34, más grande y del doble de empuje (3000 lb) pero siempre monoeje, de 11 etapas compresor, siendo la primera versión realmente operativa, que equipo los primeros jets de la US NAVY (McDonnell F2H Banshee, Douglas F3DSkyKnight, North American T2A Buckeye, Vought F-7U Cutlass).
El siguiente desarrollo lleva al J40, monoeje, 11 etapas, con postquemador, pero sin VIV o VSV, de unas 11000 lb de empuje, pensado para propulsar el McDonell F3H Demon, pero que nunca logro cumplir especificaciones, no cumplió el empuje prometido ni una operación estable, claramente por superar las capacidades del diseño básico, no llegando a ser operativo. Con este fracaso Westinghouse dejo el negocio de motores aeronáuticos.
Allison
Allison no hizo ingeniería de diseño de motores a reacción, pero se hizo cargo de diseños externos para su fabricación en serie, el GE J33 y después el GE J35. Sobre este desarrollo una versión más potente con la misma configuración el J71, monoeje, que equipo al Douglas B-66 y, con PQ, al McDonnell F3H-2 Demon.. Este motor era similar al J40 (monoeje, sin VIV ni VSV) también tenía sus mismas limitaciones aunque en nivel aceptables para un avión subsónico como el F3H. Después de este se dedicó a la producción de turbo hélices.
Curtis Wright
CW Tampoco hizo diseño de motores, pero produjo bajo licencia de Armstrong Siddeley una versión del Sepphir, denominado J65, monoeje, 12 etapas, sin PQ, muy parecido al J47, que equipo al Douglas A-4, Convair B-57, Grumman F-11, Republic F-84F.
General Electric Aviation
En 1941 el gobierno le entrega a GE un motor Whittle para mejorarlo y llegar a una versión operativa. A partir de este, en abril 42 se desarrolló el 1-A, también centrifugo, que equipo el BELL XP-59. Y este a su vez creció hasta el J33 que equipo al Lockheed P-80 Shooting Star. La historia dice que en paralelo con este, avanzo en el diseño del primer motor americano de compresor axial monoeje, el J35. Pero lo cierto es que este aparece recién en 1945, cuando ya se habían encontrado con los BMW 003 y Jumo 004.
Este equipó varios bombarderos multimotores y la serie del Convair F-89 Scorpion y Republic F-84 Thunderjet, North American F1J Fury. GE dejo la fabricación de este motor a ALLISON para concentrarse en el desarrollo del J47, evolución más potente que voló en 1948, que sería el motor de aplicación generalizada en los aviones de la USAF en los 50 (más de 36000). Este fue el primero que opero de serie con postquemador en el NA F-86D.
Hasta 1948/1950, todos estos motores eran relativamente simples, monoeje, de Rc>=5, Subsonicos, técnicamente herederos de los motores alemanes y que solo regulaban la optimización del compresor con válvulas bleed. Pero ya la necesidad de mayor potencia y Rc hacían que la estabilidad del compresor fuera muy marginal. El próximo paso requería una solución radical en el manejo de la estabilidad del compresor para pasar la barrera del sonido en forma consistente y a nivel.
El problema era que un motor básico como los analizados, aun con el empuje suficiente dado por un postquemador, pero con el compresor sintonizado en una velocidad M<1, no podría funcionar a baja potencia y velocidad y no podría cruzar la barrera del M=1
Tanto P&W como GE iniciaron estudios para pasar a motores supersónicos, para saltar esa valla técnica para los motores, casi tan difícil como la aerodinámica, aunque no tan vistosa. P&W desarrolla primero el J57, el primero de doble eje, y GE recién en 1950 empieza a trabajar en el reemplazo supersónico de su J47 que compita con este, el que sería el J79.
Pratt & Whitney Aircraft
P&W inicia el diseño de un motor en 1947/48 que superara al J47 para equipar al Boeing B-52 y, con PQ , a nuevos cazas supersónicos, siguiendo la línea de los ingleses de BRISTOL (OLYMPUS), que habían descartado el VSV por dificultad de control con los sistemas de la época y habían aceptado las complejidades del doble eje.
Este motor fue el J57, doble eje con 16 etapas totales y un Rc: 11, y PQ. El diseño se desarrolló casi en paralelo con el Olympus y voló por primera vez en enero de 1950. Equipo al NA F-100 Super Sabre, Vought F-8U Crusader, Convair F-102 DeltaDagger, McDonell F-101 Voodoo. En su versión sin PQ, el JT3, equipo al Boeing B-52 y Boeing 707 y Lockheed U2., y en una versión derated el J52, al Douglas A-4 y Grumann A-6.
Fue tremendamente exitoso, con una producción del orden de 21000, pero ninguno de los aviones que propulsaba se acercaba a M2, ya que estaban en el rango de M1.2 a M1.8. Es interesante destacar que en estos aviones el ducto de entrada era plano y fijo, y la tobera del PQ era solo convergente, lo que limitaba la velocidad de salida del flujo de tobera a M1.
Así que, aun con esta cantidad de motores y aviones equipados, a P&W le faltaba un motor capaz de llegar a M>2. Esto genero la necesidad de ir a un diseño nuevo, el J75, también de doble eje, que se desarrolló parejo con el J79, pero que pese a tener algo más de empuje, era más grande y pesado. Este solo equipo al Republic F-105 Thunderchief, que, aunque preveía M2, operativamente no pasaba de M1.8, y al Convair F-106 DeltaDart, con el que al fin pudo alcanzar M2.
GE J79
Al momento del inicio del desarrollo del J79, el escenario era un mercado de motores para aviones supersónicos casi cubierto por el P&W J57, pero limitado a M1.5, mientras que GE solo tenía el J47, claramente subsónico, por lo que había cubierto su ciclo y GE necesitaba un sucesor supersónico, ya adecuado a aviones de M2.
GE inicio en 1952 el análisis de los parámetros básicos de un motor apto para requerimientos hasta M2, ya que todavía no existían aviones de esa performance. Para esa performance se apunta a una Rc>12, asi que era necesario adoptar alguna de las soluciones potenciales analizadas.
El Director de la División Motores “Jim“ La Pierre enfrentaba la necesidad de obtener buena economía de combustible a M0.9, con desempeño flexible de transonico a supersónico, con empuje suficiente para M2 y estabilidad de funcionamiento en todo el rango.
La Pierre armo dos equipos, uno partiendo del concepto de 2 ejes, ya introducido por PW en el J57, que les llevaba varios años de ventaja, y el otro de la idea innovadora de alabes de entrada VIV y de estator de control variables VSV. GE no tenía experiencia en ninguna de las dos alternativas, por lo que era una decisión abierta.
El grupo doble eje estaba a cargo de Chapman Walker, y el otro, para evaluar la alternativa monoeje con estatores variables, a cargo de Gerhard Neumann, un ingeniero alemán de una historia muy particular. (Nota 2
Neumann ya hacía un año que venía trabajando en forma casi personal en un prototipo “proof of concept” de compresor de 14 etapas con VIV y las 5 primeras etapas con VSV y, denominado VSEX. (Una solución parecida había sido intentada por RR en el AVON en 1950 pero se abandonó por complicaciones en el control y se redujo a VIV y bleed).
Luego de un año de estudios y pruebas, la alternativa de mantener un solo eje agregando 6 etapas de estatores variables demostró mejor performance, con más flexibilidad y elasticidad y más estabilidad, con menor peso, tamaño y complejidad que el doble eje, optimizando la operación desde bajas a altas rpm, y tobera de escape convergente-divergente.
La configuración era bastante simple y básica, 17 etapas de compresor, cámaras de combustión tubulares y tres ruedas de turbina sobre un único eje. Era una evolución del J47, pero con las innovaciones de VIV y VSV en las primeras 6 etapas, PQ y con la innovación de la tobera de geometría variables convergente divergente.

El sistema de VIV modificaba el ángulo de los vanos de entrada y el sistema de VSV consistía en un aro por etapa que modificaba el ángulo de los estatores controlados ambos por una computador electromecánico (sistema parecido al de una caja automática de la época), según varios parámetros de entrada (velocidad V2, RPM, temp T2) y controlaba el flujo de entrada al motor entre 65% y 95% del régimen del motor.


La tobera CON/ DIV de geometría variable fue la otra innovación usada por primera vez y era necesaria para M2 sostenido.


Pese a estas innovaciones, el motor solo tenía tres cojinetes simples, un diámetro y peso apenas superior al del J47, (pero inferior al del J75), mantenía la confiabilidad y bajo mantenimiento de un monoeje (tenía un MTBO superior al del J57 de 1200 hs, y era más liviano que este y casi la mitad que el J75). Asimismo, lograba una T4 de 1710° F (830° C), superior a la del J57 y J75 en 110°F, lo que permitía un mejor aprovechamiento del compresor. Esto le dio clara ventaja en la aplicación en el diseño de aviones apuntados a M2.
La mayor eficiencia en todo el rango de operación permitía disponer de mayor flujo derivable en la bleed, que podía usarse en control de capa límite en slats, flaps alerones. Presentaba mayor simplicidad, confiabilidad, costo, mantenibilidad, performance, tamaño y eficiencia, que el J57.
GE había conseguido que este control fuera armonioso y fluido, cosa que no había conseguido RR con el AVON. Gracias al VSV, conseguía optimizar rendimiento en un amplio rango de rpm y consecuentemente, maximizar el empuje disponible en todo el rango supersónico.
El diseño de Neumann, de unas 14000 lb de empuje, ya designado J79, ganó en 1952 la licitación para los motores que equiparían el bombardero GEBO, que sería el inicio del Convair B-58 Hustler. Ambos proyectos siguieron con un desarrollo integrado.
La aplicación en este avión presentaba la innovación de conducto de entrada con geometría variable, con el movimiento longitudinal del cono de entrada. Esta solución se usaría también en otras aplicaciones del J79 como el McDonnell F-4, y North American A-5A,
No obstante, el desarrollo del Lockheed F-104 Starfigther fue más rápido, y se adoptó el mismo motor, llegando a volar primero con este avión. Esto implico que el pulido de diseño y corrección de deficiencias del motor se hiciera sobre este avión, llegando optimizado al B-58.
En junio 1954 se testeo por primera vez en banco, y en diciembre 1955 voló por primera vez propulsando al Douglas XF-4D Skyray, demostrando una performance inusual, rapidísimo ciclo de arranque y aceleración y superando el empuje calculado, sorprendente eficiencia en todo el rango de RPM, tanto subsónico como supersónico, sin problemas de crecimiento pese a la tecnología no probada.
Hizo el primer vuelo con el YF-104 en abril 1956 y pronto alcanzo M2.13, velocidad nunca alcanzada por la USAF hasta entonces, cumpliendo todos los objetivos de velocidad, aceleración y ascenso. En base al desarrollo integrado del F-104 y J79, en 1958 le fue otorgado el Colliers Trophy a Kelly Jonhson por Lockheed, Gerard Neumann, diseñador de J79 y Neil Burgess, jefe del proyecto, por GE por el mayor aporte al desarrollo aeroespacial.

Ya probado en el F-104, se continuo el desarrollo con el B-58, y fue adoptado también para el McDonell F-4 Phantom II, North American A-5A Vigilante, y varios proyectos supersónicos más, todos aviones que pudieron aprovechar las performances del J79 para sobresalir en la historia durante muchos años, con una producción que superó los 17000 motores.
Aviones equipados con J79
Convair B-58 Hustler

El primer vuelo del B-58 fue en noviembre 1956 y su entrada en servicio en marzo de 1960. Fue el verdadero innovador en el concepto de vuelo supersónico sostenido para un bombardeo. Estaba diseñado con capacidad básica de bombardeo estratégico nuclear supersónico de penetración, a gran alcance (> 1500 mn), con capacidad secundaria de transónico a baja altura.
El B-58 fue diseñado a partir de 1950 como un salto de calidad para reemplazar al B-47 con una velocidad de M2 sostenida, y fue este requerimiento operativo que genero las especificaciones para el J79, desarrollándose los proyectos de avión y motor en paralelo, volando juntos en nov 1956. Los motores iban en barquillas separadas, que contaban con ductos de entrada variables, con un cono deslizable longitudinalmente. Se utilizó el J9-GE-5/5C en todas las aeronaves de un empuje máximo con PQ e 15600 lb.
Era un avión muy complejo, con sistemas nuevos y caro de operar y mantener, asociado a una sola misión, que, aunque al momento de la cancelación del BAC TSR2, tenía solo cuatro años de operativo, a fines de 1965 empezaría a ser desactivado. Y esta desactivación se basaba en que ya en esa época no era viable la penetración en altura por las capacidades antiaéreas rusas.
El B-58 / J79 fue un avión perfecto en relación con el cumplimiento de las especificaciones, pero quedo desactualizado en poco tiempo, llegando solo a una producción de 116 aviones y una vida operativa de no más de 15 años.
Lockheed F-104 Starfigther

El F-104 fue diseñado a partir de 1952 por Kelly Johnson en su Skunk Works como un caza de superioridad aérea de M2, simple, rápido, con mucha aceleración y techo operativo, aunque solo armamento aire-aire, y poco alcance.
Cuando estaban definiendo el motor, se encuentran que el motor diseñado para el B-58 encaja en las necesidades y lo adoptan como el único posible de cumplir los requerimientos operativos para el avión.
Lockheed siguió la línea de Convair de ductos de entrada semicónicos, pero fijos. Inicialmente estaban sintonizados a M1.7, pero cuando el avión se desarrolló al super starfigther, el F-104G, pasaron a M2. El avión podía superar M2 con facilidad, pero se mantuvo un límite de M2.2 por problemas de temperatura en el motor. A lo largo de las series se utilizaron varias versiones, desde el J79-GE-3 al J79-GE-11A, con empujes alrededor de 16000 lb.
La USAF se encontró con su primer avión que permitía vuelo sostenido a M2, y aunque con una performance impresionante, presentaba limitaciones para una utilización más allá de interceptor cercano, resultado de un diseño en el límite de la tecnología de la época.
No obstante, por cuestiones políticas, de rápida disponibilidad y de costos, fue utilizado por varios países en una variedad de roles (Alemania, Italia, Bélgica, Canadá, Holanda, Japón, alcanzando una producción de mas de 2500 aeronaves de diferentes evoluciones, siempre acompañadas por actualizaciones del J79, producidas en varios de esos países, con más de 40 años de vigencia operativa.
North American A-5A Vigilante

El avión nace en 1953 como el A3J, A-5A a partir de 1962, un proyecto privado de NA de bombardero nuclear táctico supersónico, embarcado con capacidad de reconocimiento. Estaba diseñado para vuelo supersónico en altura, pero también podía operar a baja altura en transónico. Fue aprobado por la US NAVY en 1956 y como el F-4 se encontró con el J79 ya desarrollado y lo adopto para diseñar el avión alrededor del mismo. Este motor le permitió operar hasta M2+ en forma sostenida, y aunque en condiciones marginales, su rápida respuesta le permitió operar en portaviones.
El avión hace primer vuelo fue en agosto 1958 y entra en servicio en junio 1961, este avión presentaba innovaciones en aspectos de estructura, aerodinámica, en sistemas de control de vuelo, sin alerones, con spoilers y elevones y timón de movimiento total, con ala con soplado de flaps como el F-104, gracias al manejo del flujo del J79.
Fue el primer avión con entradas de aire de geometría variable bidimensionales, que optimizaban el flujo supersónico de entrada a los motores, mucho más eficiente que las entradas circulares con cono deslizable que usaban el B-58 o semicirculares fijas del F-104.
Como el B-58, fue un avión casi perfecto, cumplió con las especificaciones y requerimientos operativos, pero enfrento al mismo problema, resultaba un avión muy complicado, muy caro y asociado a una sola misión, ataque nuclear. Cuando la US NAVY pudo contar con otro sistema nuclear en los misiles submarinos Polaris, en 1963 se desactivo la versión de bombardeo, y solo le quedo su Plan B, la función de reconocimiento, pasando a ser el RA-5C. Y también, como el B-58 se produjeron pocas unidades, en este caso solo unos 160, y tuvo una vida operativa de unos 15 años.
McDonnell F-4 Phantom II

El proyecto del F-4 en 1956 ya encuentra al J79 vigente cuando se configura como un reemplazo del McDonnell F3H Demon, y ya la US NAVY lo había elegido para el NA A-3J, por lo que no fue difícil la elección.
El F-4 con el J79 voló por primera vez en mayo 1958, y fue el vencedor de una comparación en vuelo de otro prototipo el Vought F8U-3, evolución de otro avión naval el F8U, pero equipado con el nuevo motor de PW el J75. Como el A-5A, el F-4 empleaba ductos de entrada rectangulares variables “casi” bidimensionales. Se utilizaron versiones desde el J79- GE-2 hasta el J79-GE-17 con 17900 lb.
El avión sorprendió la US NAVY por la performance en aceleración, flexibilidad, velocidad, pese al tamaño y peso, logrando el primer avión naval con capacidad M2+. Una vez operativo esta performance convence a USAF de elegirlo reemplazo de sus cazas F-100, F-102, F-106, Y F-101, todos equipados con motores PW, lo que fue un gran logro para GE. Esta le permitió cubrir una cantidad de funciones en ambas fuerzas, interceptor, ataque, superioridad aérea, caza bombardero, reconocimiento
Asimismo, el avión se exporto a una cantidad de países en su configuración normal, y al Reino unido con el reemplazo del J79 por el Rolls Royce Spey. Este tenía doble eje como el J75 y pese a que tenía más empuje (20000lb), el avión era más lento, con menos aceleración y respuesta y flexibilidad, aunque a cambio de mejor alcance y autonomía. La Fuerza aérea israelí, propuso y desarrollo una versión del F4 con modificaciones en los ductos de entrada, pero manteniendo los J79, para alcanzar M3.2 y combatir los MIG25.
Se fabricaron unos 5200 F4 que estuvieron en servicio en USAF durante 40 años y hoy siguen operativos en algunos países.
IAI KFIR

En 1973 IAI desarrolla el KFIR, a partir de un Mirage III con muchas modificaciones propias como los canards, descartando el ATAR 9K50 del Mirage III y pasando al J79 que equipaba a sus F-4, pero fabricado en Israel. El avión supero en todo el rango de performance al MIII, logrando un avión polivalente, más eficiente, que se exporto a Colombia y Ecuador. Se utilizo una versión producida en Israel, el J79-GE-JIE de 18750 lb.
Se produjeron unos 250 aviones y operaron desde 1975 hasta 2000 en Israel y hasta la actualidad en Colombia.
Evoluciones
El J79 evoluciona directamente a un motor naval, el LM1500, el motor de transporte CJ805 sin PQ, usado en los Convair 880/990, aplicando GE La solución de VSV desde entonces en toda una serie de motores, tanto reactores puros como turboejes, como los T58, T700, TF39, J93.
Conclusión
El J79 fue la culminación de la era del reactor puro monoeje, antes de la evolución general a doble eje y derivación, pero con una tecnología revolucionaria e innovadora, no probada ni en motores de menor performance, para lograr un motor capaz de alcanzar M2+.
Su J47 había sido un éxito, pero ya había sido superado por el J57 que al momento del proyecto del J79 ya equipaba a 10 tipos de aeronaves militares, monopolizando un 70% de los bombarderos y cazas de la USAF y USNAVY, y la totalidad de los nuevos aviones de transporte.
Sin embargo, el J79 termina equiparando y superando al J57 en la aplicación sobre aviones de alta performance en desarrollo a partir de 1956. El J79 fue una gran facilidad para los diseñadores que se vieron frente a la posibilidad de gran flexibilidad en el equipamiento y armamento, manteniendo la performance, y para los pilotos que obtuvieron un avión con gran respuesta y performance, independientemente de la configuración de armas y combustible.
Fue una toma de riesgo de GE en un contexto dominado por un motor de P&W, que significó un gran éxito económico que le permitió desarrollar nuevos motores bajo su propio riesgo.
El objetivo de contar con aviones y motores que alcanzaran M2 se mantuvo vigente varios años, hasta aproximadamente 1970, cuando los avances en las defensas antiaéreas, como las capacidades de autodefensa, empezaron a hacer irrelevante una velocidad final superior a M1.8. Y en el caso de los cazas, la evolución a aviones multifunción también redujo la importancia de la velocidad pura.
Es interesante mencionar el caso del P&W TF30, que equipaba originalmente al Grumman F-14, que aun con el doble eje de P&W, no tenía VSV, y presentaba situaciones reiteradas de “stall” de compresor que llevaron a reemplazarlo por el GE F110, con doble eje y VSV, lo que soluciono el problema. Es así como la tecnología del J79 de VIV y VSV siguió utilizándose en los motores de nuevas generaciones en motores de doble ejes, con derivación, también adoptado más adelante por P&W, para estos aviones por muchos años.
NOTA 1
El proceso responde a un ciclo termodinámico de Brayton ideal (Isotrópico) (Temperatura vs Entropía (T – S)), donde las estaciones son 0: flujo libre, 1-2: ducto entrada compresor, 2-3:compresor, 3: salida compresor a cámara combustión, 3-4:cámara combustión, 4: entrada a turbina, 4-5: turbina, 5: salida de turbina, 6: postquemador, 7: tobera. 8: Salida de tobera a presión atmosférica

Sintéticamente, el flujo de aire libre (0) enfrenta el ducto de entrada (1), que reduce la velocidad y aumenta la Presión y temperatura de flujo de aire a la entrada del compresor (2). El compresor entrega energía al flujo, aumentando presión y temperatura hasta la entrada de la cámara de combustión (3). En la cámara de combustión se agrega energía, incrementando Temperatura a Presión constante entre 3 y 4. El flujo caliente pasa por la turbina, generando la misma energía que requiere el compresor, perdiendo temperatura y presión de (4) a (5), y entrando en la tobera, cuando se agrega energía nuevamente en el postquemador hasta (6), luego incrementado velocidad en la tobera (7) hasta igualar presión con P0 en condicionesde flujo libre. En caso de un motor sin postquemador, se incrementa velocidad perdiendo temperatura hasta la salida de la tobera (7’) hasta igualar presión con P0 en condicionesde flujo libre. En el diagrama, el área bajo la curva es proporcional al empuje obtenido.
En este diagrama hay dos áreas claves para la performance, que están directamente relacionadas, la eficiencia del compresor P2 a P3, que define la relación de compresor Rc, y la máxima temperatura alcanzada en T4. La T4 está limitada por el material de la turbina, y limita a su vez la energía posible de transferir al compresor. A medida que se mejoran los materiales, puede subir T4 y también Rc.

Ahora, para una Rc determinada, las condiciones de P, T y V en (2) deben ser muy específicas sino el compresor pierde eficiencia, definiéndose un punto de sintonía y un rango de eficiencia decreciente alrededor de este. Ahora, para una Rc determinada, las condiciones de Presión, Temperatura y Velocidad en la entrada del compresor deben ser muy específicas sino el compresor pierde eficiencia, definiéndose un punto de sintonía y un rango de eficiencia decreciente alrededor de este.

Cuando este punto de diseño eficiente se ubica en el régimen de operación de altas RPM, el motor no puede pasar del régimen de arranque a este en forma suave y fluida, sin riesgo de entrar en pérdida o atoramiento que bloquea el flujo.
En la medida que la Rc crece, este rango disminuye, haciendo más difícil o imposible la operación estable de un compresor. En la medida que el flujo de aire de entrada sea mayor que el que puede salir del compresor, se producen situaciones de bloqueo, “stall”, que cortan el flujo, y el motor se desestabiliza. Esta situación puede darse por una mayor potencia disponible en la turbina, o variación en los parámetros de entrada del flujo (P, V, T) La solución de este problema ha sido clave en el desarrollo de los motores con compresor axial.
En fig 19 se presenta esquemáticamente la diferencia conceptual de efecto de cada uno de estos sistemas. El doble eje amplia la curva de eficiencia sobre el punto de diseño, y el VSV corre la curva a otro punto de diseño.

Para aviones supersónicos, era necesario prever otra regulación, ya que la velocidad del flujo de entrada al compresor debe ser subsónica y todo el flujo a través del motor debe ser subsónico para que no haya ondas de presión que afecten continuidad de este. Esto se consigue con un conducto de entrada que pone las ondas de choque antes de la entrada del motor, pasando de M>1 antes de la toma a M<1 en la entrada del compresor. Se usa una geometría que genera una onda de choque oblicua externa (entrada cónica, o de placa bidimensional) para un primer salto de presión a un mach menor que el de vuelo, y una vez en el conducto, una onda frontal que pasa el flujo a M<1. Este esquema puede mejorarse con una cascada de ondas que optimizan la caída de presión, pero son complicadas y solo se usan en aviones de M>2. Estas pueden ser fijas, optimizadas para una determinada velocidad Mach, usadas generalmente para vuelo supersónico bajo. Para el rango de vuelo operativo entre M1.5 a M2+ ya se hace conveniente que sean de geometría variable para que la onda de choque varíe su posición para modificar el punto de óptimo funcionamiento, muy similar al caso del compresor.
Pero el flujo subsónico dentro del motor se acelera hasta la tobera de salida, a donde debe llegar a la máxima velocidad posible, a mayor velocidad Va que la de vuelo. Esto lleva a necesitar una tobera variable, con Va salida a M>1.

Las toberas solo convergentes, son aptas para vuelo supersónico en el rango de M:1.2 a 1.5, en aviones diseñados para una rápida aceleración y corto tiempo a esa velocidad. Esta tobera solo permite alcanzar M:1 del flujo del postquemador al fin de la tobera, expandiéndose después a presión atmosférica. Para un motor previsto para velocidades sostenidas entre M1.5 y M2+ es necesario contar con tobera convergente-divergente (CON/DIV) que permite que el flujo siga acelerándose más allá de M:1 en la garganta de la tobera. A mayor Temperatura, la velocidad Va de Mach es mayor, por lo que la velocidad VS del flujo de descarga llega a ser mayor que la velocidad del avión pese a que el M sea menor, por lo que a mayor temperatura del flujo se puede conseguir mayor velocidad a la salida de la tobera Vflujo> Vvuelo y mantener empuje hasta la velocidad de diseño). Acá esta una de las claves, cuanta más temperatura se obtenga, tanto en T4, como en T6, mas empuje supersónico se logra. Si se grafica V Salida como función de T6, se tiene.

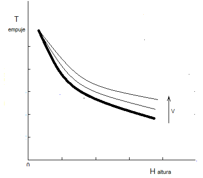
De lo anterior va quedando claro que no se puede tener un avión supersónico sin un motor supersónico. Y esto implica que el empuje necesario se consiga a la velocidad y altura de diseño del avión. Conceptualmente, el empuje varíaa con la altura Fig 22 y con la velocidad Fig 23, y se aprecia de Fig 23 que con las herramientas analizadas, puede adecuarse el máximo empuje para mayor aceleración o máxima velocidad, dependiendo del objetivo de diseño.


NOTA 2
Gerhard Neumann nació en Alemania en 1917, de ascendencia judía, estudio ingeniería Mecánica en Alemania. En 1938 Antes de la guerra cuando la situación judía era critica, viaja a China con un contrato con el gobierno chino, pero el inicio de la guerra impide que se concrete, quedando sin trabajo hasta que consigue entrar como mecánico en el Grupo de Voluntarios del Coronel Chenault, los Tigres Voladores, Después de 1942 pasa a la USAAF y durante los años de guerra se destaca en muchas áreas, especialmente por la restauración a condición de vuelo de un A6M2 Zero y algunas reparaciones imposibles, ganándose el sobrenombre de Herman the German. En 1945 es contratado por GE y después de un viaje tremendo a través de toda Asia desde China hasta Palestina en un Jeep, se establece en USA.
Tabla I

Bibliografía
- Designing Simplicity to Achieve Technological Improvement: The General Electric J79 Turbojet Engine; Innovations, Achievements and Effects- Matt C. Brimer- University of Missouri, St. Louis IRL @ UMSL- December 2017
- Neumann, Gerhard, Herman the German: The Former Enemy Alien and Air Corps G.I. Whose Inventive Skills and Maverick Management Techniques Made Jet Engine History (New York, New York: William Morrow and Company, Inc., 1984)
- Extension of Useful Operating Range of Axial-Flow Compressors by Use of Adjustable Stator Blades”Journal of the Aeronautical Sciences 1947-05: Vol 14 Iss 5
- Robinson, Douglas H., The B-58 Hustler – Arco Publishing Company, Inc. New York, 1967).
- Roland Beamont –TESTING EARLY JETS Airlife Publishing Ltd-101 Longden Road, Shrewsbury, England-1990
- Bil Gunston – EARLY SUPERSONIC FIGTHERS OF THE WEST – Ian Allan Ltd, Shepperton 1976
- Richard Gardner-THE F-4 PHANTOM II- Almarks Publications,Edgware, Midddlesex, England, 1970
- Military Turbojet/Turbofan Specifications – Nathan Meier – https://jet-engine.net/miltfspec.htm
Te puede interesar: Una Historia de exitoso fracaso II: BAC Tactical Strike Reconnaissance Mach 2 ( TSR2 )
