A través de la Resolución 944/2025, el Ministerio de Seguridad Nacional, dirigido por Patricia Bullrich, oficializó en el Boletín Oficial el aumento salarial para las Fuerzas de Seguridad. Los nuevos montos distinguen entre grado y función de las cinco Fuerzas Federales de Seguridad: la Gendarmería Nacional (GNA), la Prefectura Naval Argentina (PNA), la Policía Federal Argentina (PFA), la Policía de Seguridad Aeroportuaria (PSA) y el Servicio Penitenciario Federal (SPF).
La noticia se formalizó a pocas horas de que se aprobaran los incrementos para las Fuerzas Armadas y la Policía de los Establecimientos Navales, conforme a la Resolución Conjunta 63/2025 del pasado martes. Al igual que el personal militar, la nueva escala de haberes mensuales para las Fuerzas de Seguridad será correspondiente a los meses de junio, julio, agosto, septiembre, octubre y noviembre de 2025.
Sutiles argumentos
La resolución dispone que los incrementos, establecidos tras la intervención de la Comisión Técnica Asesora de Política Salarial del Sector Público y los servicios jurídicos permanentes de ambos ministerios, buscan adaptar los salarios al esquema escalonado ya fijado para la Administración Pública Nacional. Por ello, la Resolución señaló la necesidad de garantizar una adecuada jerarquización salarial que refleje los atributos del personal policial y de seguridad federal.

“Resulta necesario fijar una escala de haberes para el personal en actividad de las FUERZAS POLICIALES Y DE SEGURIDAD FEDERALES dependientes del MINISTERIO DE SEGURIDAD NACIONAL, que reconozca una adecuada jerarquización en relación con la capacidad, responsabilidad y dedicación que demanda la correcta ejecución de su actividad”, reza el Boletín Oficial.
En este sentido, y dentro de los aumentos mensuales, se incluyó la compensación por “Recargo de Servicio” así como los importes correspondientes al suplemento por “Funciones de Prevención Barrial”. La medida también abarcó la actualización de suplementos por “Zona”, títulos académicos, “Fijación de Domicilio”, “Variabilidad de Vivienda”, viáticos y reintegro de gastos de sepelio. Cada uno de estos se aplica según el cuerpo de seguridad al que le corresponda.
¿Cómo quedarían los sueldos del personal de Seguridad?
Para el personal con estado militar de gendarme en actividad de la GNA, a los aumentos escalonados se le debe sumar los importes correspondientes al suplemento particular “por Funciones de Prevención Barrial” y de la compensación “por Recargo de Servicio”. Dependiendo el grado, la Función Prevención Barrial va desde los $343.478,67 (cargo más bajo, Gendarme II) hasta los $1.099.756,56 (cargo más alto, Comandante General) a partir del 1° de noviembre. Similar con la compensación Recargo de Servicio, que varía según el grado del personal y la cantidad de horas realizadas.

El personal con estado policial en actividad de la PNA, además de su correspondiente aumento salarial, recibirá la compensación por “Recargo de Servicio”. Similar a lo anteriormente detallado para la GNA, ocurre con la Prefectura. Aquellos prefectos que realicen más de 5 horas, recibirán una compensación mayor.

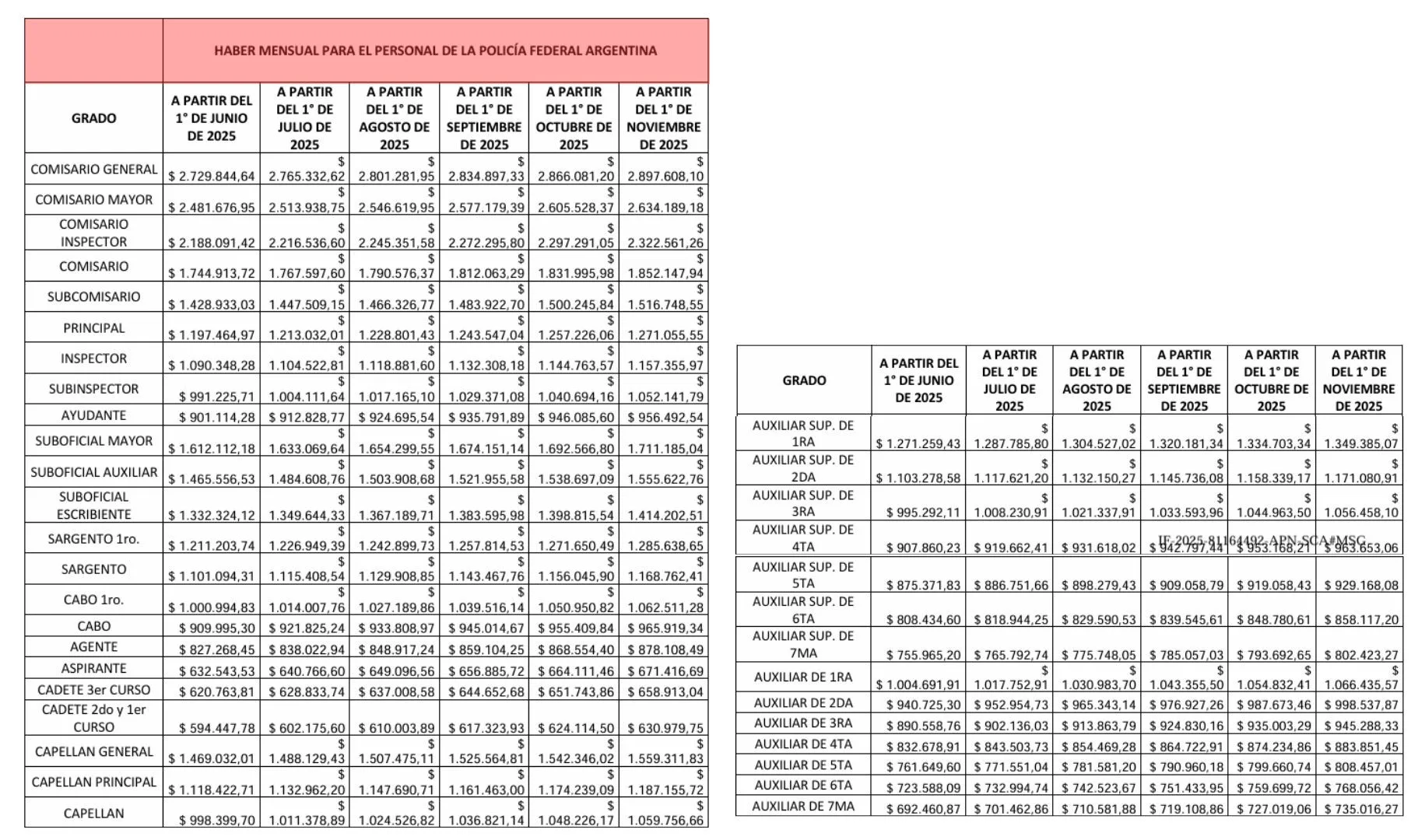
Con respecto a la PFA, al haber mensual se suman los importes correspondientes al suplemento particular por “Zona”, como así también el valor del Servicio de Policía Adicional. Se observa que la Región Comodoro Rivadavia recibe la mayor compensación por Zona de todo el país, variando, desde ya, según el grado del personal. Algunos de los Servicios de Policía Adicional son los de modalidad Servicio Discontinuo, modalidad servicio en Ámbito Ferroviario, modalidad Servicio Explosivista, Custodia a Sedes, entre otros.

La Resolución de al cartera de Seguridad reza en su artículo 4 que el Director Nacional y el Subdirector Nacional de la GNA; el Prefecto Nacional Naval y el Subprefecto Nacional Naval de la PNA; y el Jefe y el Subjefe de la PFA recibirán importes correspondientes al “complemento por responsabilidad jerárquica”

El Personal Policial de la PSA también recibirá nuevos aumentos, que también recibe compensaciones por Recargo de Servicio, así como también Viáticos según la zona -donde el Sur (provincias de Neuquén, Rio Negro, Chubt, Santa Cruz y Tierra del Fuego) tiene los números más altos-. A ello se suma el Suplemento por Tarea Jerárquica (Niveles I, II, III y VI) y Jefatura (Centro de Análisis de Comando y Control, Jefatura de Unidades Regionales, Unidades Operacionales de Seguridad Preventiva, entre otros).

Por último, el personal del SPF recibirá el correspondiente haber mensual con aumento, añadiendo las compensaciones por “Fijación de Domicilio” y “Variabilidad de Vivienda”, el complemento particular por “Función Ejecutiva”, los suplementos particulares por “Zona Sur” y “Título Académico”, el “Régimen de Viáticos”, el concepto indemnizatorio “Resarcimiento de Gastos” y el beneficio “Reintegro de Gastos de Sepelio”.
Te puede interesar: Bullrich oficializa a los nuevos jefes de la Policía Federal tras la entrada en vigor del nuevo y criticado Estatuto
